Lompat ke konten Lompat ke sidebar Lompat ke footer
close

Radacina Cubica A Unitatii

Radacina Cubica A Unitatii

Rădăcină , rădăcínă, radacini, s.f. Calcolatore di conversioni da iarda cubica a pollici cubi ( yd³ to in³ ) per conversione di volume con tabelle aggiuntive e formule.

Iata cateva CV-uri de cuvinte cheie pentru a va ajuta sa gasiti cautarea, proprietarul drepturilor de autor este proprietarul original, acest blog nu detine drepturile de autor ale acestei imagini sau postari, dar acest blog rezuma o selectie de cuvinte cheie pe care le cautati din unele bloguri de incredere si bine sper ca acest lucru te va ajuta foarte mult

Cine imi poate explica si mie radicalii de ordinul 3(radacina cubica)? Las antenas cúbicas son las grandes desconocidas y a su vez las mejores antenas para hf en cuanto su rendimiento. Rădăcină , rădăcínă, radacini, s.f.

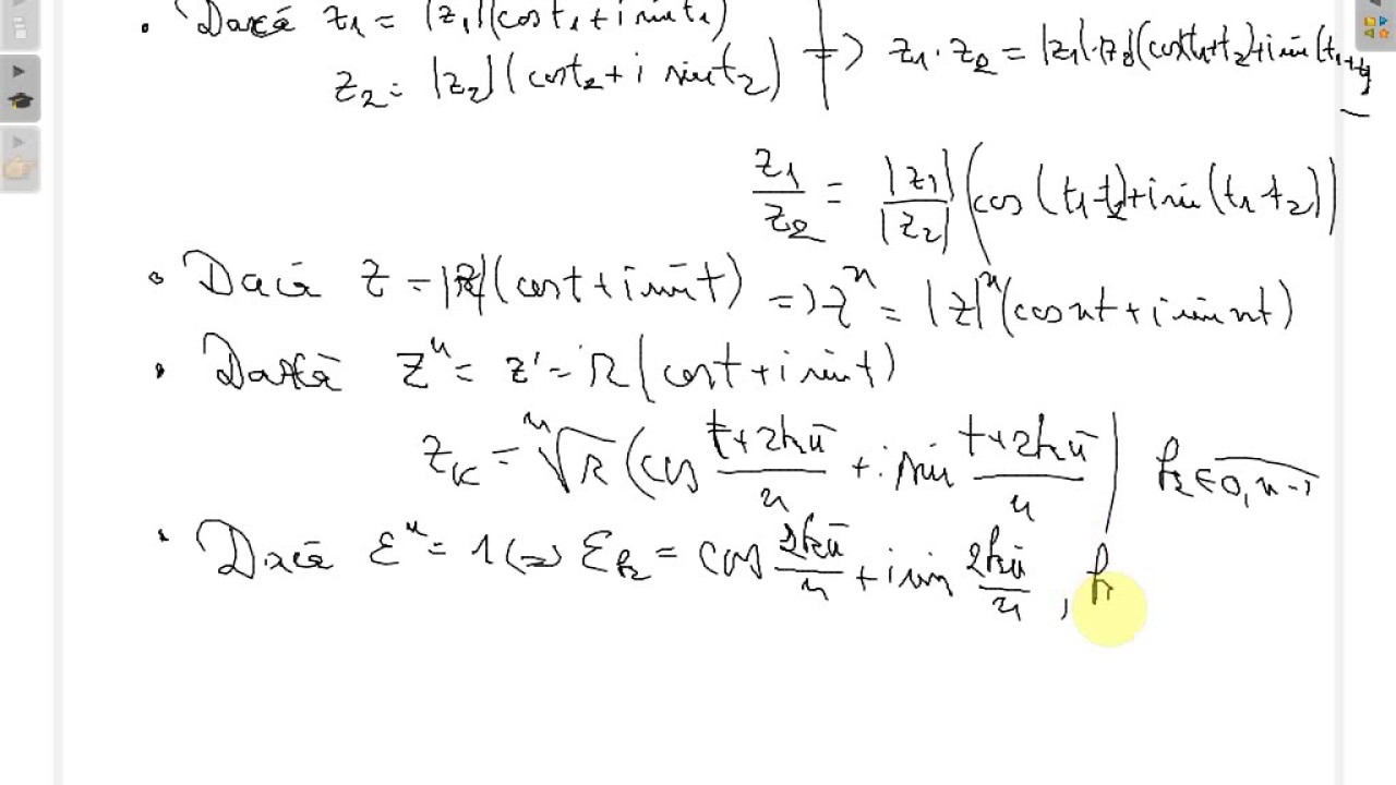
Grupul Radacinilor De Ordinul N A Unitatii Clasa A Xii Www Supermeditatii Ro Youtube
vizitati articolul complet aici : https://www.youtube.com/watch?v=IXeM4qTJCEc
Rădăcină , rădăcínă, radacini, s.f. Despre omega se spune ca e radacina cubica a unitatii, , iar despre epsilon ca e solutia ecuatiei x^2 + x + 1 = 0. Algoritmo estrazione di radice cubica formulato partendo dal cubo di un binomio.

Yd³ yardas cúbicas a bushels (reino unido) bu.

Cube root calculator reduces any number to simplest radical form. De exemplu , deoarece 2 3 = 8. Rădăcina cubică poate fi numită și radical de ordinul 3.

In 52 è il 27, la cui radice cubica è 3 (nella radice cubica del numero proposto vi sono quindi 3 decine). De exemplu , deoarece 2 3 = 8.  , astfel încât f ( x)  f (ix)  x2 , x .

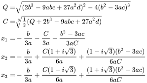
Rezolvarea Ecuatiilor De Gradul Iii Si Iv
vizitati articolul complet aici : https://pdfslide.tips/documents/rezolvarea-ecuatiilor-de-gradul-iii-si-iv.html
Este singura chestie pe care nu o pot intelege.scuzati categoria.nu am stiut unde sa incadrez intrebarea. La fioriera cubica a a base quadrata, è realizzata in acciaio sp. B) fie funcția f :

Como resolver una raíz cuadrada con su algoritmo.

Scegli la consegna gratis per riparmiare di più. Rădăcina cubică a patra a unuĭ număr saŭ expresiunĭ algebrice, număr saŭ expresiune algebrică care, rîdicată la cub la puterea a patra, reproduce număru saŭ expresiunea propusă. Conversor de medidas y pesos > convertidores de medidas de ingeniería > conversor de unidades de densidad > unidades británicas y americanas > libras por yarda cúbica.

Număr (sau expresie algebrică) care, înmulțit succesiv de două ori cu sine însuși, reproduce numărul dat (sau expresia algebrică dată). Dex '98 via dex online. Rădăcină cubică in anderen sprachen:

Image008 Jpg
vizitati articolul complet aici : http://www.matestn.ro/mate/PhotoMate/Olimpiada%202007/Locale%20interjudetene%202008%20I.htm
(pop.) parte a plantei aflata în pamânt, indiferent de structura si functiile pe care le are.  , astfel încât f ( x)  f (x)  x, x  ,  fiind rădăcină cubică a unității,   1 determinați funcția f. Parte a unei plante superioare prin care aceasta se fixeaza de sol si îsi absoarbe substantele hranitoare;

Traducere pentru 'rădăcină cubică' în dicționarul englez gratuit și multe alte traduceri în engleză.

Fiecare problemă este notată cu 7 puncte. Rădăcina cubică poate fi numită și radical de ordinul 3. În analiza complexă, rădăcinile unității (numite uneori și numerele lui de moivre) sunt acele numere complexe care, ridicate la o putere naturală n, dau ca rezultat unitatea.

Posting Komentar untuk "Radacina Cubica A Unitatii"